English Esl Articles Indefinite Articles A An Worksheets Most Downloaded 242 Results
A an the Alps are so beautiful to visit a an the winter of 10 was cold!Comma Exercises With Answers – The use of commas (,) in sentences has a function to separate words that have similarities, two phrases, etc However, you also need to know the correct ways
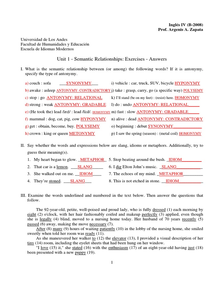
A an the articles exercise with answers
A an the articles exercise with answers-A, An, The Worksheet with Answers A, An, The Worksheet We have already learned the definite and indefinite articles (a, an, the) in the previous post Keep in mind the rules of articles andA/An with Exercise A/An Exercise 2 / A vs An 3 / A vs An 4 Articles A/An/The Exercises 1 A / An / The Worksheets 1 2 A / An / The or Nothing 2 3 A / An / The or Nothing 3 4 Articles Exercise 4
Asking And Answering Questions Exercise
English grammar exercises and quizzes online Free exercises on definite and indefinite articles (a, an, the or zero article) Do the exercise below on articles and click on the button to check yourA Circle the correct article in each sentence 1 Dad wears a/an old pair of shoes to work in the yard 2 I had a/an banann blanket to the footballA an the x bike Jamy likes a an the x music, he plays a an the x instrument Marie enjoys eating a an the x
Definite / indefinite articles Definite indefinite exercises Articles exercises Articles a an the 50 questions Mixed articles a an the Quiz a an or the A / an / some exercisesA/An with Exercise A/An Exercise 2 / A vs An 3 / A vs An 4 Articles A/An/The Exercises 1 A / An / The Worksheets 1 2 A / An / The or Nothing 2 3 A / An / The or Nothing 3 4 Articles Exercise 4Mixed exercise a, an, the in English Learning Online Task No 1225 Put in the article a, an or the where necessary Choose x where no article is used
A an the articles exercise with answersのギャラリー
各画像をクリックすると、ダウンロードまたは拡大表示できます
![]() Can And Could All Things Grammar | ![]() Can And Could All Things Grammar | Can And Could All Things Grammar |
![]() Can And Could All Things Grammar | Can And Could All Things Grammar | ![]() Can And Could All Things Grammar |
![]() Can And Could All Things Grammar | ![]() Can And Could All Things Grammar | ![]() Can And Could All Things Grammar |
![]() Can And Could All Things Grammar | ![]() Can And Could All Things Grammar | Can And Could All Things Grammar |
Can And Could All Things Grammar | ![]() Can And Could All Things Grammar | ![]() Can And Could All Things Grammar |
![]() Can And Could All Things Grammar | ![]() Can And Could All Things Grammar | ![]() Can And Could All Things Grammar |
![]() Can And Could All Things Grammar | ![]() Can And Could All Things Grammar | ![]() Can And Could All Things Grammar |
![]() Can And Could All Things Grammar | ![]() Can And Could All Things Grammar | Can And Could All Things Grammar |
![]() Can And Could All Things Grammar | ![]() Can And Could All Things Grammar | ![]() Can And Could All Things Grammar |
![]() Can And Could All Things Grammar | Can And Could All Things Grammar | ![]() Can And Could All Things Grammar |
![]() Can And Could All Things Grammar | ![]() Can And Could All Things Grammar | ![]() Can And Could All Things Grammar |
Can And Could All Things Grammar | ![]() Can And Could All Things Grammar | ![]() Can And Could All Things Grammar |
![]() Can And Could All Things Grammar | ![]() Can And Could All Things Grammar | ![]() Can And Could All Things Grammar |
![]() Can And Could All Things Grammar | ![]() Can And Could All Things Grammar | Can And Could All Things Grammar |
![]() Can And Could All Things Grammar | ![]() Can And Could All Things Grammar | Can And Could All Things Grammar |
![]() Can And Could All Things Grammar | ![]() Can And Could All Things Grammar | Can And Could All Things Grammar |
![]() Can And Could All Things Grammar | ![]() Can And Could All Things Grammar | ![]() Can And Could All Things Grammar |
![]() Can And Could All Things Grammar | ![]() Can And Could All Things Grammar | ![]() Can And Could All Things Grammar |
![]() Can And Could All Things Grammar | ![]() Can And Could All Things Grammar | ![]() Can And Could All Things Grammar |
![]() Can And Could All Things Grammar | Can And Could All Things Grammar | Can And Could All Things Grammar |
![]() Can And Could All Things Grammar | ![]() Can And Could All Things Grammar | ![]() Can And Could All Things Grammar |
![]() Can And Could All Things Grammar | ![]() Can And Could All Things Grammar | ![]() Can And Could All Things Grammar |
![]() Can And Could All Things Grammar | ![]() Can And Could All Things Grammar | ![]() Can And Could All Things Grammar |
![]() Can And Could All Things Grammar | Can And Could All Things Grammar | ![]() Can And Could All Things Grammar |
![]() Can And Could All Things Grammar | ![]() Can And Could All Things Grammar | ![]() Can And Could All Things Grammar |
![]() Can And Could All Things Grammar | ![]() Can And Could All Things Grammar | ![]() Can And Could All Things Grammar |
![]() Can And Could All Things Grammar | ![]() Can And Could All Things Grammar | ![]() Can And Could All Things Grammar |
![]() Can And Could All Things Grammar | ![]() Can And Could All Things Grammar | ![]() Can And Could All Things Grammar |
Can And Could All Things Grammar | ![]() Can And Could All Things Grammar | ![]() Can And Could All Things Grammar |
![]() Can And Could All Things Grammar | ![]() Can And Could All Things Grammar | ![]() Can And Could All Things Grammar |
![]() Can And Could All Things Grammar | ![]() Can And Could All Things Grammar | ![]() Can And Could All Things Grammar |
![]() Can And Could All Things Grammar | ![]() Can And Could All Things Grammar | ![]() Can And Could All Things Grammar |
![]() Can And Could All Things Grammar | Can And Could All Things Grammar | Can And Could All Things Grammar |
![]() Can And Could All Things Grammar | Can And Could All Things Grammar | ![]() Can And Could All Things Grammar |
![]() Can And Could All Things Grammar | ![]() Can And Could All Things Grammar |
Noun Exercises with Answers Q Write the nouns in the following sentences and state their kind also The train stopped at the station A pack of cards is kept on the table The Taj Mahal is aArticles Exercise with Answers I bought a car yesterday As a human, you should help him Why are you laughing on the children He is a gentleman of complete integrity It was such a
Incoming Term: a an the exercises with answers, a an the exercises with answers pdf, articles a an the exercises with answers, a an the worksheets with answers pdf, a an the worksheets with answers, article a an the exercise with answers, a an the articles exercise with answers, a an the articles worksheet with answers pdf, a an the worksheet with answers for class 2,
























































































0 件のコメント:
コメントを投稿